阿摩線上測驗
登入
首頁
>
教甄◆化學專業/化工科
>
114年 - 114 高雄市市立高級中等學校_聯合教師甄選試題:化工科#127334
> 申論題
申論題
試卷:114年 - 114 高雄市市立高級中等學校_聯合教師甄選試題:化工科#127334
科目:教甄◆化學專業/化工科
年份:114年
排序:0
申論題資訊
試卷:
114年 - 114 高雄市市立高級中等學校_聯合教師甄選試題:化工科#127334
科目:
教甄◆化學專業/化工科
年份:
114年
排序:
0
題組內容
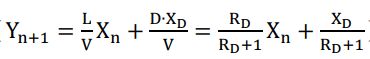
3. 麥泰圖解法是利用「平衡圖」來做圖用以求得理想板數及進料位置,圖中包含平衡線、45°線、精餾段操作線(
)、 氣提段操作線、進料線。
申論題內容
(4) 求此蒸餾塔之回流比?(取至小數點下 2 位)(4 分)