阿摩線上測驗 登入

申論題資訊

試卷:106年 - 106 年 - 106 國立臺灣大學_碩士班招生考試_國際企業研究所乙組:微積分(C)#114292
科目:台大◆企管◆微積分(C)
年份:106年
排序:0

題組內容

6. (35%) Let wT denote the terminal wealth of a uni-dollar investment after T periods. Consider two possible cumulative distribution functions (CDFs) for wT as follows.
646716618a848.jpgwhere N(μ, σ2) represents the normal distribution with the mean to be u and the variance to be σ2. For any utility function U'(•) ≥ 0, the expected utility under F or G is
 646716bf2a37f.jpg

Last,Φ(c)≡646717235c860.jpgdx is the CDF for the standard normal distribution.  where M is a positive constant, and the expected utility under F is

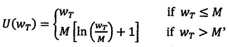
6.3 (20%) Consider a utility function 646717e8950c8.jpg

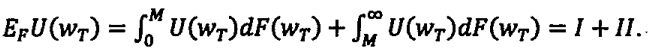
where M is a positive constant, and the expected utility under F is

646718f05cb4b.jpg

申論題內容

6.3.2 (10%) If II can be expressed as M[aΦ(β) + γe-δ2/2], what are a, β,γ, and δ?