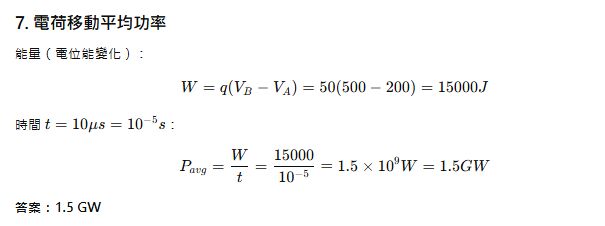
7.有一帶 50 庫侖(C)之電荷,自 A 點移至 B 點耗時 10 微秒(μs),已知 A 點電壓 VA = 200 V,B點電壓VB = 500 V,則平均功率為______吉瓦特(GW)。(計算至小數點後第1位,以下四捨五入)
詳解 (共 1 筆)
詳解

7.有一帶 50 庫侖(C)之電荷,自 A 點移至 B 點耗時 10 微秒(μs),已知 A 點電壓 VA = 200 V,B點電壓VB = 500 V,則平均功率為______吉瓦特(GW)。(計算至小數點後第1位,以下四捨五入)
