阿摩線上測驗
登入
首頁
>
教甄◆數學
>
115年 - 115 國立陽明交大附中_教師甄選試題:數學科#137883
> 申論題
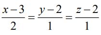
7. 在空間中,直線
分別與平面 E
1
: x+ y+z=3和 E
2
:x-y+2z=5交於 A、B 兩 點,設動點 P 在 E
1
和 E
2
的交線上,則三角形 △PAB 面積的最小值為________。
相關申論題
1. 有一邊長為的正八邊形 ABCDEFGH,設點 P 為的交點,點 Q 為的交點, 則三角形 APQ 的面積為________。
#564599
2. =________。
#564600
3. 甲、乙、丙、丁、戊、己、庚 7 人選 5 人排成一列,若同時選出甲、乙,則排列時甲、乙須相鄰;若同時選出丙、丁,則排列時丙、丁須分開,則一共有_______種不同的排列。
#564601
4. 坐標空間中,設 A,B 兩點在某直線 L 上的投影點分別為 C,D,已知 = 4, 且兩直線的方程式分別為, 則長度為_______。
#564602
5. 若方程式恰有五個實根,則 k =_______。
#564603
6. 已知三次函數 f (x) =x(x-2)(x-4) ,則=__________ 。
#564604
8. 在坐標平面上,O 為原點,圓 O: x2+y2=4有一弦在直線 x =1 上,設動點 P 在弦 上, 以為弦心距的弦為,所有可能的所形成的區域面積為________。
#564606
9. 設 z1 和 z2 為複數,且 = ________。
#564607
10. 多項式 f (x ) 滿足 xf(x-1)=(x-5) f(x)且 f (6) 1 = ,則= _______。
#564608
11. 在 △ABC 中,已知 = 4, = 5,∠A= 2θ ,θ以弧度計。若 △ABC 的外接圓半徑為 R(θ ), 則 = ___________。
#564614
相關試卷
115年 - 115 國立陽明交大附中_教師甄選試題:數學科#137883
115年 · #137883
115年 - 115-1 臺中市臺中第一高級中學_教師甄選試題:數學科#137882
115年 · #137882
114年 - 114 國立臺灣藝術大學教育學程招生考試_綜合學科:數學#137131
114年 · #137131
114年 - 114 高雄市市立國民小學教師聯合甄選-專長類-普通科目試題:數學#131662
114年 · #131662
114年 - 114 澎湖縣國民小學暨附設幼兒園教師/代理教師甄選試題:數學#131655
114年 · #131655
114年 - 114 文藻外語大學師資培育中心__國民小學教師教育學程新生甄選試題:學科基本知識-數學#130715
114年 · #130715
114年 - 114-1 臺北市立復興高級中學_專任教師甄選試題:數學科#129383
114年 · #129383
114年 - 114-2 新竹市國民中學教師聯合甄選初試試題:數學科#128201
114年 · #128201
114年 - 114 臺南市市立國民中學_正式教師聯合甄選試題:數學專門科目#128066
114年 · #128066
114年 - 114 桃園市國民中學新進教師聯合甄選試題:數學科#127820
114年 · #127820