阿摩線上測驗
登入
首頁
>
教甄◆數學
>
114年 - 114 國立新竹科學園區實驗高級中等學校_教師甄選試題_高中及國中部:高中數學科#126906
> 申論題
申論題
試卷:114年 - 114 國立新竹科學園區實驗高級中等學校_教師甄選試題_高中及國中部:高中數學科#126906
科目:教甄◆數學
年份:114年
排序:0
申論題資訊
試卷:
114年 - 114 國立新竹科學園區實驗高級中等學校_教師甄選試題_高中及國中部:高中數學科#126906
科目:
教甄◆數學
年份:
114年
排序:
0
申論題內容
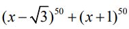
9.將
展開後可得多項式
設
之值為k,試求:log
4
|k|=______。