阿摩線上測驗
登入
首頁
>
有機化學
>
114年 - 114 一般警察特種考試_二等_刑事鑑識人員材料及化學物品鑑析組:有機化學#127790
> 申論題
申論題
試卷:114年 - 114 一般警察特種考試_二等_刑事鑑識人員材料及化學物品鑑析組:有機化學#127790
科目:有機化學
年份:114年
排序:0
申論題資訊
試卷:
114年 - 114 一般警察特種考試_二等_刑事鑑識人員材料及化學物品鑑析組:有機化學#127790
科目:
有機化學
年份:
114年
排序:
0
題組內容
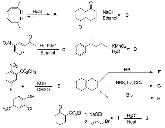
三、請畫出下列反應式的主要產物結構(A~J)。
申論題內容
C