阿摩線上測驗
登入
首頁
>
研究所、轉學考(插大)◆數理統計學
>
110年 - 110 國立政治大學_碩士班暨碩士在職專班招生考試_統計學系:數理統計學#103311
> 申論題
申論題
試卷:110年 - 110 國立政治大學_碩士班暨碩士在職專班招生考試_統計學系:數理統計學#103311
科目:研究所、轉學考(插大)◆數理統計學
年份:110年
排序:0
申論題資訊
試卷:
110年 - 110 國立政治大學_碩士班暨碩士在職專班招生考試_統計學系:數理統計學#103311
科目:
研究所、轉學考(插大)◆數理統計學
年份:
110年
排序:
0
題組內容
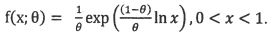
4.(30pt) Let X
1
, X
2
,..., X
n
be a random sample from the density
申論題內容
d. (7pt) For n = 1 find a complete sufficient statistic if such exists.