所屬科目:四技二專統測◆數學A
1. 有30位同學透過外賣平台下單買飲料,每人點1杯飲料,統計結果如表(一)。試問最受這些同學歡迎的飲料為何?
(A)四季春青茶 (B)茉莉綠茶 (C)黑糖珍珠鮮奶 (D)紅茶拿鐵
2. 已知△ABC中,∠C為直角且線段之長度分別為13、5、12,如圖(一)所示。試問\( \sin A \)=?
(A)\( \frac{5}{13} \) (B)\( \frac{5}{12} \) (C)\( \frac{12}{13} \) (D)\( \frac{13}{12} \)
3. 試問不等式\( 5(x+1)-3(x-1)<0 \)的解為何? (A)\( x<-4 \) (B)\( x>-4 \) (C)\( x<4 \) (D)\( x>4 \)
4. 已知a、b為實數,且\( 10^a \cdot 10^b=100 \)。試問下列敘述何者正確? (A)\( a+b=10 \) (B)\( a+b=2 \) (C)\( a \cdot b=10 \) (D)\( a \cdot b=2 \)
5. 試問以點\( (-2, 2) \)為圓心,半徑為2的圓方程式為何? (A)\( (x+2)^2+(y-2)^2=2 \) (B)\( (x+2)^2+(y-2)^2=4 \) (C)\( (x-2)^2+(y+2)^2=2 \) (D)\( (x-2)^2+(y+2)^2=4 \)
6. 試問下列哪個方程式的解為–2、4? (A)\( |x-1|=3 \) (B)\( |x+1|=1 \) (C)\( |x-2|=2 \) (D)\( |x+2|=6 \)
7. 試問下列何者為函數\( f(x)=x^2+1 \)的圖形? (A) (B)(C) (D)
8. 坐標平面上,若相異三點A(2,4)、B(8,7)、C(x,y)共線,則直線BC的斜率為多少? (A)2 (B)\( \frac{3}{2} \) (C)1 (D)\( \frac{1}{2} \)
9. 若\( 4x+2 \)為7與13的等差中項,則x=? (A)4 (B)3 (C)2 (D)1
10. 已知A、B兩共構車站皆能搭乘高鐵或臺鐵自強號,兩站間的高鐵單程票價為1490元,自強號單程票價為975元。小曼預計在A、B兩站間搭單程高鐵或單程自強號若干次,且每次搭乘時都可重新選擇高鐵或自強號。試問下列哪個不等式能說明「小曼搭x次單程高鐵及y次單程自強號所花費的總車資達10000元以上(含)」? (A)\( 975x+1490y \geq 10000 \) (B)\( 975x+1490y \leq 10000 \) (C)\( 1490x+975y \geq 10000 \) (D)\( 1490x+975y \leq 10000 \)
11. 明禮設定一組手機密碼,需要由左至右輸入6個數字,如圖(二)所示。已知密碼的6個數字是從0到9隨機選出,並可重複使用。試問共有幾組密碼可供明禮選擇?
(A)\( 6^{10} \) (B)\( P_6^{10} \) (C)\( 10^6 \) (D)\( C_6^{10} \)
12. 園遊會有7個遊戲攤位,分別是氣球射擊、投籃機、跳舞機、砸水球、彈珠檯、套圈圈、釣魚。若主辦方從這7個攤位任意選出3個不同攤位,製成一組「3個攤位遊戲免費」的招待券,則可以有幾種不同的組合? (A)210 (B)140 (C)70 (D)35
13. 安安觀察自己在影音平台上發布的影片,發現影片觀看次數約為1000次的有40%;觀看次數約為200次的有50%;幾乎沒有人看的有10%。試問安安每上傳一部影片,觀看次數的期望值約為多少次? (A)120 (B)500 (C)600 (D)750
14. 坐標平面上,已知兩直線\( L_1 \):\( x+y-4=0 \)與\( L_2 \):\( x-2y+2=0 \)。試問下列哪一直線與直線\( L_1 \)和\( L_2 \)圍成一個直角三角形? (A)\( x+y=0 \) (B)\( x-2y-6=0 \) (C)\( 2x+y-4=0 \) (D)\( x+2y-6=0 \)
15. 已知某輛汽車新車價格為100萬元,且每年價格之折舊率固定為12%(亦即,該車的價格在第2年時為第1年的88%,第3年時為第2年的88%,以此類推)。試問第6年時該車價格為多少萬元? (A)\( 100 \times 0.88^5 \) (B)\( 100(1-0.12^5) \) (C)\( 100 \times 0.12^5 \) (D)\( 100(1-0.88^5) \)
16. 身高140公分的筱原站在公園的地面上放風箏,假設手中的風箏線長度放到30公尺時,風箏線剛好呈一直線,且與水平面的夾角為45°,如圖(三)所示。試問此時風箏離地面的高度約為多少公尺?
(A)18 (B)22 (C)26 (D)30
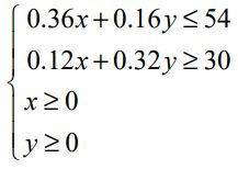
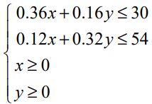
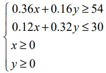
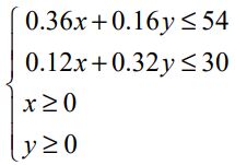
17. 某飲料店每天準備54公升的濃茶與30公升的鮮奶製作大杯的A飲料與B飲料,其中A飲料由360毫升的濃茶與120毫升的鮮奶所泡製而成;B飲料由160毫升的濃茶與320毫升的鮮奶泡製而成。若某日這家飲料店賣出A飲料x杯,B飲料y杯,則下列何者為滿足題意之聯立不等式?
(A) (B)(C)(D)
18. 已知\( f(x) \)為多項式,且\( f(-1)=-8 \)、\( f(1)=-4 \)。試問\( f(x) \)除以\( x+1 \)的餘式為何? (A)8 (B)4 (C)–4 (D)–8
19. 若\( a=\log_2 27-\log_2 6 \),則\( 2^a \)=? (A)\( \frac{9}{4} \) (B)\( \frac{9}{2} \) (C)9 (D)18
20. 已知a, b為實數。若\( \alpha \)、\( \beta \)為方程式\( x^2+ax+b=0 \)的兩根,且\( \alpha\beta=0 \),\( \alpha+\beta>0 \),則下列敘述何者正確? (A)\( a=0 \) (B)\( b=0 \) (C)\( a+b>0 \) (D)\( a-b>0 \)
21. 已知圓C:\( (x-2)^2+(y+2)^2=4 \)與直線L:\( 3x-4y+1=0 \)。試問下列敘述何者正確? (A)圓C與直線L交於相異兩點,且直線L通過圓C的圓心 (B)圓C與直線L交於相異兩點,且直線L未通過圓C的圓心 (C)圓C與直線L相切 (D)圓C與直線L不相交
22. 截至昨天為止,A、B、C、D、E、F、G等7人在同一社群平台上的追蹤人數分別為19、24、29、31、44、58、75。已知G今天發布一則有趣又實用的貼文,追蹤人數立即增加一倍,而其他人的追蹤人數都沒有改變。試問今天與昨天相比,這7人於該社群平台之追蹤人數的統計量何者維持不變? (A)全距 (B)最大值 (C)標準差 (D)四分位距