所屬科目:教甄◆資訊科技概論專業(電腦科)
1. 在計算機結構中,若有兩個4-bit的二的補數(Two's complement)數值分別為0001與1011。請先計算這兩數的相加結果,再將相加後之數值透過符號延伸(Sign Extension)擴充為8-bit的二進位表示式,其最終結果應為______。
2. 執行下列C語言程式碼,探討傳值呼叫(Call by Value)與傳址呼叫(Call by Address)的差異。請問下列程式最後印出的數值為何?____________
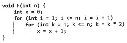
3. 給定底下C++函式F(),以Big-O符號表示,該函式總體的時間複雜度為______。
4. 使用Python語言時常會需要安裝第三方的外部函式庫,若想透過命令列介面安裝pyautogui套件,應輸入的完整指令為______。
5. 在Python程式中,若要針對單行程式碼進行註解標示(Comment),應使用______符號作為開頭。
二、簡答與申論題(共計85分) 1. 教案設計 請針對高中資訊科技加深加廣選修課程——「科技應用專題」或「進階程式設計」設計一個教案,以「四學(自學、共學、互學、導學)」為基礎,並說明如何將生成式AI適切地融入各學習階段以輔助教學。(20分)
(1)課程整體架構,含單元安排。(5分)
(2)教學策略,如差異化教學。(5分)
(3)實作能力培養,如程式設計訓練、解題策略。(5分)
(4)評量設計。(5分)
(1)科展培訓歷程。(5分)
(2)如何引導學生形成具探究價值的研究問題。(5分)
(3)指導學生進行資料蒐集、實驗設計與數據分析的方法。(3分)
(4)如何培養學生問題解決與創新思考能力。(2分)
(1)趨勢解析:請就您的理解,說明何謂「Vibe Coding」?這類開發模式與傳統的「編寫程式碼(Manual Coding)」有何本質上的差異?其背後依賴的關鍵技術與常用工具有哪些?(4分)
(2)教學辯證:當AI能夠根據高階指令自動生成大量程式碼時,高中階段的資訊科技教育是否仍應保留「基礎語法手寫(如C++, Python)」與「邏輯除錯」的訓練?請從運算思維與學生未來競爭力的角度,詳述您的理由與核心觀點。(4分)
(3)課程轉型:若要將上述開發模式引入高中專題課程,您會如何重新定義老師與學生的角色?請提出一個具體的教學單元設計,說明如何引導學生從「代碼寫作者」轉向「系統架構者」或「代碼審核者」。(2分)
(1)請以「演算法與程式設計」為例,規劃一個為期6週的教學單元,須包含:教學目標、各週教學主題與活動設計、採用的教學策略(如何讓不同程度的學生都能有效學習),以及評量方式。(5分)
(2)本校在課程發展上具有較大的彈性與創新。若您發現現行課綱有不足之處,您會如何透過校訂課程(如多元選修、彈性學習時間、自主學習)進行補充與延伸?請舉出兩門您可能開設的課程名稱,並簡述課程目標與適合對象。(6分)
(3)在教學現場中,「學生對程式設計感到挫折而放棄」是常見問題。請提出至少兩項您會採用的具體教學策略或班級經營方法來提升學生的學習動機與成就感。(4分)
(4)競賽培訓往往僅能照顧少數資優學生。請說明您會如何將競賽訓練的成果與經驗回饋到日常教學中,使全體學生都能受益,進而建構從基礎到進階的系統性資訊能力培育藍圖。(5分)