所屬科目:教甄◆數學
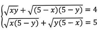
一、若實數x, y(0<x, y<5)滿足方程組,求x³+y³=____。(5分)
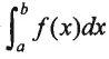
二、多項式f(x)=x(1-x)(1+x²),選取積分區間a≤x≤b,使得定積分達到最大值,求最大值為____。(5分)
三、如圖,半徑為6的大圓內部正好放置七個大小都相等的小圓彼此相切,則陰影部份的面積等於____。(5分)
四、如圖,△ABC中,∠C=90°,且正方形DGEF內接於△ABC內,使得D、G分別在AC、BC上,以及E、F在AB上。試證:AB≥3EF。(10分)
五、△ABC中,AB=AC,且D、E、F三點分別在BC、CA、AB三邊上,使得DE∥AB,又△BDF之面積為9,△AFE之面積為15,△DCE之面積為32,試求△DEF與△ABC面積之比值。(10分)
六、設a, b為整數,如果多項式x²-x-1為多項式ax¹⁷+bx¹⁶+1之因式,試求a與b之值。(10分)
(1)如圖(一)。沿著格線裁剪,可以將此圖切割成n(n≥2)塊全等的圖形。請問:n的最小值為何?(4分)承(1),請用粗線畫在右圖(一)上,描繪出你切割的軌跡。(6分)【請於附件上作答】
(2)如圖(二)。一片多方塊是將若干個單位正方形以邊對邊完全密合的連接而成的形狀。請使用不多於10片的任意形狀之「多方塊」來構成一個9×4的矩形,並且,須滿足以下條件:【條件1】「多方塊」不可以重疊,也不可以有空格。【條件2】每片「多方塊」都是由面積最小的「多方塊」,經放大正整數倍後,再經過旋轉或鏡射後而成。【條件3】每片「多方塊」不可以是矩形。【條件4】其中至少有兩片「多方塊」的大小不同。請用粗線畫在右圖(三)上,描繪出你利用多方塊拼接的軌跡。(5分)【請於附件上作答】
(1)請於下圖中圈出1~100的所有質數。(5分)
(2)請從1~100的25個質數中,任選一個質數作為「質數接龍」的「起始數」(用筆圈起來);接續,再以「起始數」的個位數字作為下一個質數的首位,依據以上規則如圖所示。想一想:最長的「質數接龍」最多可包括幾個質數呢?請將您的答案寫下來。(15分)【請於附件上作答】
5. 坐標平面上,一次函數y=-2x-6的圖形通過下列哪一個點?(A)(-4,1) (B)(-4,2) (C)(-4,-1) (D)(-4,-2)(1)請問本題的評量重點為何?(2分)
(2)請針對「待加強」學生的作答反應,分析其迷思概念。(3分)
十、屏科實中重視「科學領航」,且學生在TISF國際科展表現優異。學校欲選拔學生參加數學競賽(如:JHMC或青少年數學國際城市邀請賽)及科學展覽。請規劃一份四週的「數學專題與競賽指導」彈性學習課程計畫。(15分)