
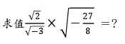
(A)-3/2
(B)3/2
(C)3/2 i
(D)-3/2 i
答案:登入後查看
統計: A(99), B(273), C(84), D(40), E(0) #329829
統計: A(99), B(273), C(84), D(40), E(0) #329829
詳解 (共 7 筆)
#392239
(A)-3 /2(B)3/2(C)3i/2 (D)-3i /2
選項答案:是分數,不是整數
8
3
#632729
請修改答案選項~~
3
0
#699614
原本題目:
(A)-32(B)32(C)32i (D)-32i
修改成為
(A)-3/2(B)3/2(C)3/2 i (D)-3/2 i
(A)-32(B)32(C)32i (D)-32i
修改成為
(A)-3/2(B)3/2(C)3/2 i (D)-3/2 i
3
0
#320203
怎麼100桃園數學的題目總是???
1
0
#479990
答案應為
A -3/2
B 3/2
C 3i/2
D -3i/2
1
0
#345335
這又是問什麼?
0
0