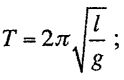
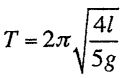
1. An elevator is accelerating upward with a constant acceleration of g/5 (g is the gravitational acceleration). A simple pendulum of length l is suspended from the ceiling of the elevator. What is the period T of the pendulum for small oscillations?
(A)
(B)
(C)
(D)
(E)
答案:登入後查看
統計: 尚無統計資料
統計: 尚無統計資料