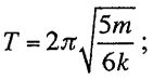
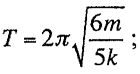
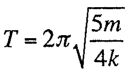
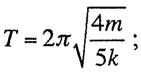
2. An elevator is accelerating upward with a constant acceleration of g/5 (g is the gravitational acceleration). An ideal spring with spring constant k is suspended vertically from the ceiling of the elevator and is attached by a block of mass m. What is the period T of this spring-block system for small vertical oscillations?
(A)
(B)
(C)
(D)
(E)
答案:登入後查看
統計: 尚無統計資料
統計: 尚無統計資料