43、有一個表達式 (x + 2y + 3z)6,請問在這個展開式中,項xy2z3的係數是多少?
(A) 1080
(B)3240
(C)4860
(D)6480

答案:登入後查看
統計: A(32), B(62), C(53), D(43), E(0) #3269219

詳解 (共 3 筆)

#6215551


(共 1 字,隱藏中)
前往觀看
11
0
#6355639
1* 22 * 33=108
一個x、二個y、三個z排列組合的可能=6!/2!3!=60
108*60=6480
6
0
#6400086
681383c428bf1.jpg

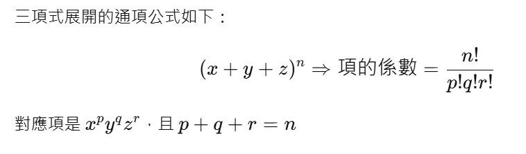
套進這題:

  • 原式是(x + 2y + 3z)^6

  • 我們要找到的是 xy^2z^3

也就是說:

  • x^1

  • y^2

  • z^3

滿足 1 + 2 + 3 = 6,沒錯,所以可以用公式!

套公式:

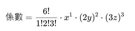
6813847b24692.jpg

注意:不要忘記 y 和 z 還有前面 2 跟 3 要做乘法處理

68138487686e0.jpg

68138497dbbd3.jpg

1
0