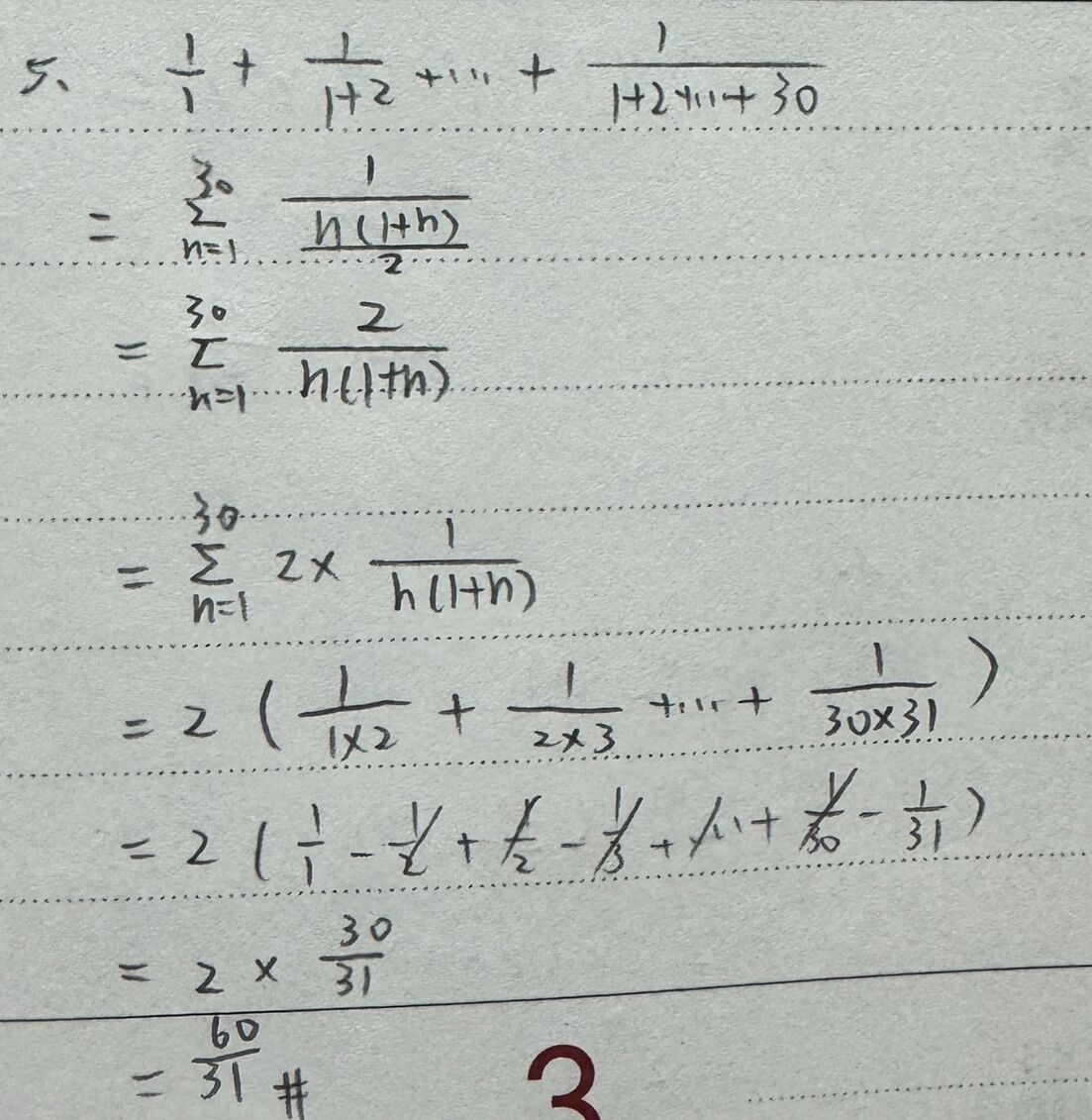
5.試求之值。
(A)
(B)
(C)
(D)

答案:登入後查看
統計: A(27), B(53), C(70), D(76), E(0) #3220117

詳解 (共 4 筆)

#6057820
66094e6254f81.jpg
19
0
#6055790


(共 1 字,隱藏中)
前往觀看
11
2
#6056349
先了解1+2+3+...+n=n(n+1...
(共 132 字,隱藏中)
前往觀看
9
0
#6096737
公式:1 + 1/(1+2) + 1/(1+2+3) + 1/(1+2+3+4) ... + 1/(1+2+3...n) = 2n/(n+1)
ㅤㅤ
n=30,2*30/(30+1)=60/31
3
0

私人筆記 (共 2 筆)

私人筆記#5854229
未解鎖


(共 0 字,隱藏中)
前往觀看
2
0
私人筆記#5851857
未解鎖


(共 0 字,隱藏中)
前往觀看
2
0