阿摩線上測驗
登入
首頁
>
教甄◆數學
>
114年 - 114-1 國立新竹科學園區實驗高級中等學校_教師甄選試題_國小部:數學科#127053
> 試題詳解
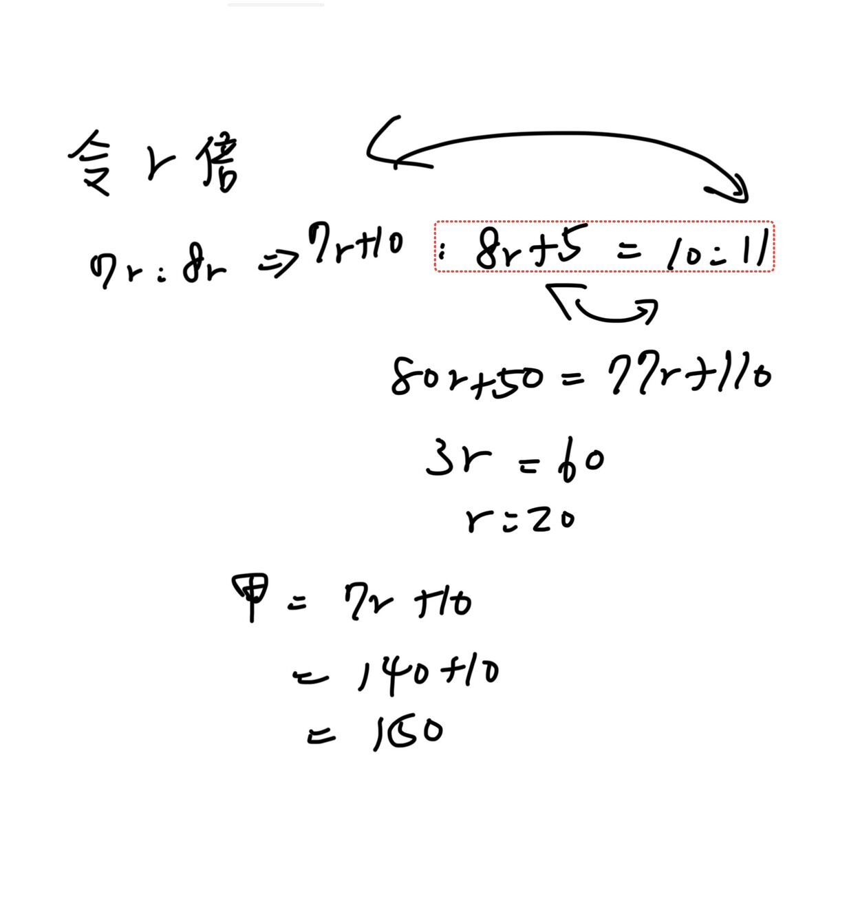
7.甲、乙原本的身高比是7:8,經過暑假後,乙長高了5公分,甲長高的高度是乙的兩倍,現在甲、乙的身高比是10:11,請問甲現在身高幾公分?
(A)140
(B)145
(C)150
(D)155
答案:
登入後查看
統計:
A(11), B(3), C(51), D(4), E(0) #3438451
詳解 (共 2 筆)
許翠芬
B2 · 2025/06/01
#6449944
7X+10:8X+5=10:11 80...
(共 63 字,隱藏中)
前往觀看
4
0
嘉瑜
B1 · 2025/05/24
#6434829
0
0
相關試題
1.老師請學生表示個圓,下面是小明的作法: 請問小明畫的對不對?下列哪些說法是 正確 的? 甲:不對,小明畫的是個圓。 乙:對,小明畫的是3個個圓,也是個圓。 丙:對,1個圓和個圓合起來是個圓。(A)只有甲(B)只有甲、乙(C)只有甲、丙(D)只有乙、丙
#3438433
2.如果要判斷右圖是不是扇形(已知兩條直線邊等長,皆為10公分),哪些是五年級學童可以使用的策略? 甲:在圖形內畫出一條半徑,測量半徑是不是10公分。 乙:以扇形的頂點為圓心、直線邊為半徑畫一個圓,看看弧長是否為圓的一部份。 丙:對摺再對摺,看看是否完全疊合。 丁:已知半徑10公分,先算出弧長10×2×3.14÷4=15.7,測量弧長是否為15.7公分。(A)只有甲、乙(B)只有甲、乙、丙(C)只有甲、乙、丁(D)甲、乙、丙、丁
#3438434
3.平方公分板是學童學習面積課程中非常重要的工具,下圖是使用平方公分板測量長方形面積的不同方式,請排出使用平方公分板的發展層次。(A)丙→乙→甲→丁(B)丙→甲→乙→丁(C)乙→丙→甲→丁(D)丙→乙→丁→甲
#3438435
4.如果要進行「分數化成小數」的教學活動,您會怎麼安排這四個分數的教學順序?(A)(B)(C)(D)
#3438436
5.已知甲÷乙=35...95,95÷乙=0.748...0.004。請問「甲÷乙」的商用四捨五入法算到小數第一位是多少?(A)35.0(B)35.7(C)35.8(D)36.0
#3438437
6.烘焙師傅做了214個鳳梨酥後進行包裝,每2個裝成一盒,再每3盒裝成一箱,最多可以裝成幾箱?還剩下幾個鳳梨酥?下面是兩個學童的作法,您認為他們的想法正確嗎?為什麼?(A)兩人都正確,因為連除兩數也可以除以兩數之積。(B)只有甲生正確,求餘數要以連除解題。(C)只有甲生正確,乙生的餘數錯誤。(D)只有乙生正確,甲生的餘數錯誤。
#3438438
7.以下四個六年級學生,用不同的方法證明a和b互質,哪些學生的方法是正確的? 甲:a和b的最大公因數是1 乙:a和b的公因數只有1個 丙:a的質因數和b的質因數沒有重複 丁:a和b共同的質因數只有1個(A)只有甲(B)只有甲、乙(C)只有甲、乙、丙(D)甲、乙、丙、丁都正確
#3438439
8.中年級學生對於應用問題中,存在一種迷思:看見「多」就是加法,看見「少」就是減法,忽略題目真正的語意和數量關係。朱老師打算布反例題,讓學生產生認知衝突,知道不能只看關鍵字。請問,以下哪些題目是朱老師破除此類學生迷思可以使用的反例題? 甲:用一條長304公分的繩子繞正方形周界一圈,繩子還多出28公分,請問這個正方形的邊長是幾公分? 乙:媽媽有19元,爸爸的錢比媽媽的錢多12元,請問爸爸有多少元? 丙:妹妹有43元,妹妹比哥哥少24元,請問哥哥有多少元? 丁:弟弟原有55元,還要再存多少元,才能有95元?(A)只有甲、乙(B)只有甲、丙(C)只有乙、丙(D)甲、乙、丙、丁都是
#3438440
9.以下是兩位老師進行五年級因數教學時進行的講解內容,誰說的數學知識是完全正確的? 甲:12除3等於4餘0,我們就說12可以被3整除。 乙:12可以被3整除,也可以被4整除,我們就說3和4是12的公因數。(A)甲是對的,乙是錯的(B)甲是錯的,乙是對的(C)甲、乙都是對的(D)甲、乙都是錯的
#3438441
10.以下四個題目,都在評量學生能不能判斷正方形,依照十二年國教數學領綱的學習內容,分別屬於哪個年級的題目?(A)一年級、二年級、三年級、四年級(B)一年級、一年級、三年級、四年級(C)一年級、二年級、四年級、三年級(D)一年級、一年級、四年級、三年級
#3438442
相關試卷
115年 - 115-1 臺北市立大安高工教師甄選試題:數學科#138455
2026 年 · #138455
115年 - 115-1 國立臺灣師範大學附屬高級中學_專任教師甄選試題:數學科#138411
2026 年 · #138411
115年 - 115-1 國立臺灣師範大學附屬高級中學_專任教師甄選試題:數學科#138410
2026 年 · #138410
115年 - 115-1 國立臺灣師範大學附屬高級中學_專任教師甄選試題:數學科#138409
2026 年 · #138409
115年 - 115-1 臺北市立麗山高級中學_正式教師甄選試題:數學科#138397
2026 年 · #138397
115年 - 115-1 國立臺南一中_教師甄選初試試題:數學#138376
2026 年 · #138376
115年 - 115 國立嘉科實驗高級中學_國小部普通班教師甄選試題:數學#138356
2026 年 · #138356
115年 - 115-1 國立中央大學附屬中壢高級中學教師甄選試題:數學科#138235
2026 年 · #138235
115年 - 115 高雄中學正式教師甄選試題:數學科#138213
2026 年 · #138213
115年 - 115-1 國立中興大學附屬高級中學_正式教師甄試試題:數學科#138079
2026 年 · #138079