阿摩線上測驗
登入
首頁
>
教甄◆數學
>
112年 - 112 臺中市政府教育局受託辦理本市立國民中學教師甄選:數學科#115815
> 試題詳解
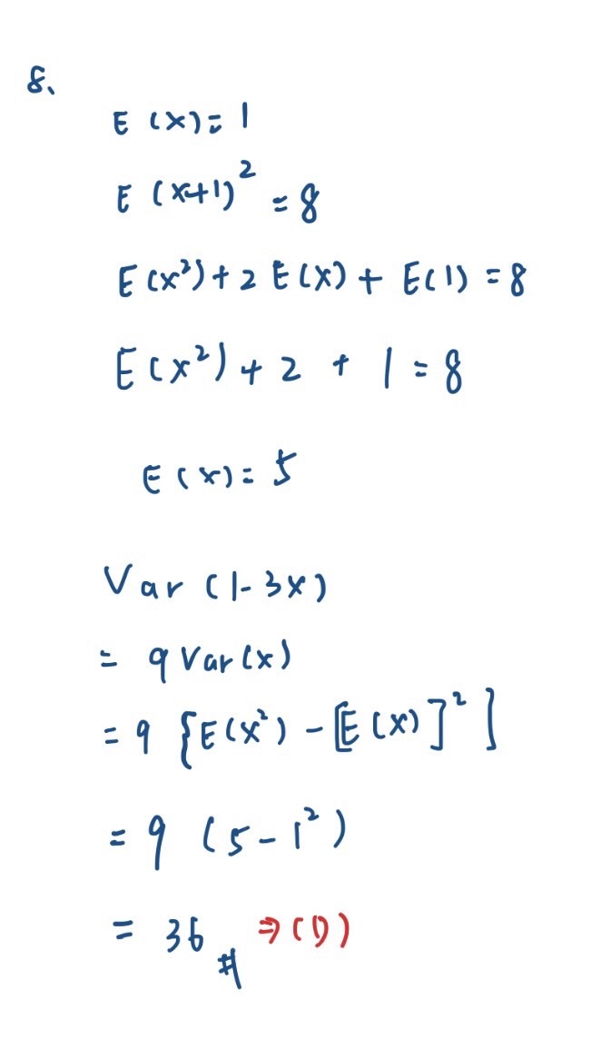
8. 已知E(X) =1且E[(X+)
2
] =8,求Var(1-3X) =?
(A) 24
(B) 28
(C) 32
(D) 36
答案:
登入後查看
統計:
A(6), B(12), C(12), D(27), E(0) #3129980
詳解 (共 3 筆)
2019/6教檢集滿10次了!
B2 · 2023/08/25
#5919031
(共 1 字,隱藏中)
前往觀看
5
0
haw
B3 · 2024/01/12
#6007239
(共 1 字,隱藏中)
前往觀看
3
0
Chen Chen
B1 · 2023/07/22
#5892999
0
0
相關試題
1. 求方程式|x+3|-(x+1)-|x-1|=0,所有解的和為多少? (A) -3 (B) -1 (C) 0 (D) 2
#3129973
2. 求? (A)(B) 0 (C)(D)發散
#3129974
3. 下列選項中的級數,何者是發散級數? (A)(B)(C)(D)
#3129975
4. 若 A 是一個2✕2的實數矩陣且滿足 ,則 A 的反矩陣 =? (A)(B)(C)(D)
#3129976
5.已知 H 和 K 都是群G 的子群而且 K 是 H 的子群,若G 的階數(order)是24且 K 的階數是3, 則下列選項中何者不可能是 H 的階數? (A) 3 (B) 6 (C) 8 (D) 12
#3129977
6. 某校中有60%的學生不戴戒指也不戴項鍊,20%的學生戴戒指,30%的學生戴項鍊。若隨機選出一位學生,則該生戴戒指且戴項鍊的機率為何? (A) 0.1 (B) 0.3 (C) 0.4 (D) 0.5
#3129978
7. 設a為正整數,若a2的十位數字是5,則a2的個位數字為何? (A) 1 (B) 3 (C) 4 (D) 6
#3129979
9. 設f(x)=,若(a, b互質),求a + b = ? (A) 124 (B) 247 (C) 286 (D) 329
#3129981
10.在△ABC中,邊上各取一點D,E,而交於F,若, 則,求k之值為 (A) 3 (B) 4 (C) 5 (D) 6
#3129982
11.列中的定積分,何者可以用來计算由直線y=x-1和拋物線y2=2x+6所圍成之封閉區域的面積? (A)(B)(C)(D)
#3129983
相關試卷
115年 - 115-1 臺北市立大安高工教師甄選試題:數學科#138455
2026 年 · #138455
115年 - 115-1 國立臺灣師範大學附屬高級中學_專任教師甄選試題:數學科#138411
2026 年 · #138411
115年 - 115-1 國立臺灣師範大學附屬高級中學_專任教師甄選試題:數學科#138410
2026 年 · #138410
115年 - 115-1 國立臺灣師範大學附屬高級中學_專任教師甄選試題:數學科#138409
2026 年 · #138409
115年 - 115-1 臺北市立麗山高級中學_正式教師甄選試題:數學科#138397
2026 年 · #138397
115年 - 115-1 國立臺南一中_教師甄選初試試題:數學#138376
2026 年 · #138376
115年 - 115 國立嘉科實驗高級中學_國小部普通班教師甄選試題:數學#138356
2026 年 · #138356
115年 - 115-1 國立中央大學附屬中壢高級中學教師甄選試題:數學科#138235
2026 年 · #138235
115年 - 115 高雄中學正式教師甄選試題:數學科#138213
2026 年 · #138213
115年 - 115-1 國立中興大學附屬高級中學_正式教師甄試試題:數學科#138079
2026 年 · #138079