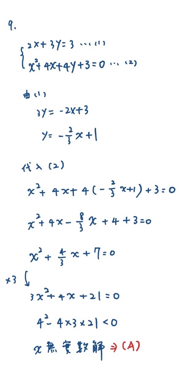
9. 兩集合A = {(x, y)|2x + 3y = 3},B = {(x, y)|x2 + 4x + 4y + 3 = 0},則A ∩ B的元素個數為何?
(A)0
(B)1
(C)2
(D)無限多

答案:登入後查看
統計: A(28), B(7), C(9), D(8), E(0) #3122527

詳解 (共 4 筆)

#5865391


(共 1 字,隱藏中)
前往觀看
6
0
#7189765
這是一道關於 集合論 與 解析幾何(直線...
(共 2049 字,隱藏中)
前往觀看
0
0
#7189759
這是一道結合集合論與代數(方程組求解)的...
(共 1778 字,隱藏中)
前往觀看
0
0
#5893119
0
0