所屬科目:研究所、轉學考(插大)-微積分
(1)=_________
(2)=_________
(3)If f(x)=,f'(1)=_________
(4)If f(x)=,f'(1)=_________
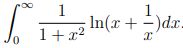
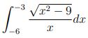
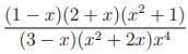
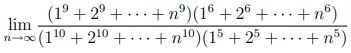
(5)=_________
(6)=_________
(7)=_________
(8)=_________
(9)=_________
(10)If f(x)=x5+3x+9,then =_________
二.計算證明題: 1. Show that the equation x5 + 6x + 9 = 0 has exactly one real root.
2. Find the absolute maximum and minimum values of f(x, y) = x2 + y2 + 6xy on the disc x2 + y2 ≤ 1.
3. Find .