所屬科目:研究所、轉學考(插大)-微積分
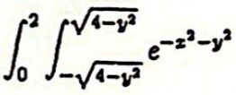
(1) Evaluate = (1) .
(2) Let y = f(x) be a function defined implicitly by the equation 2(x² + y²)² = 25(x² - y²) near x = 3, y = 1. By linear approximation f(2.87) ≈ (2) .
(3) Let R be the region described by {(x, y) | cos x ≤ y ≤ sec²x, 0 ≤ x ≤ }. The volume obtained by rotating R about the y-axis is (3) .
(4) The area of the region inside the polar curve r = 5 + 3 cos θ is (4) .
(5) The 4th nonzero term of the Maclaurin series of the function f(x) = √(9 + x²) is (5) .
(6) The coefficient of in the Maclaurin series of g(x) = is (6) .
(7) The tangent plane of the surface xy²z³ = 8 at the point (2, 2, 1) is given by the equation (7) = 0.
(8) Evaluate cos(y5) dy dx = (8) .
(9) Evaluate dx dy = (9) .
(10) Let E be a solid in the first octant. The largest possible value of (9 - x² - y² - z²) dV is (10) .
(11) Sketch the curve y = and its asymptotes. Find the intervals of increase/decrease and concavity. Label local extrema and inflection points if any.
(12) Evaluate the definite integral xln ln(x² - 4x + 5) dx.
(13) A logistic population model with relative growth rate 0.1 per year and carrying capacity 50 thousand can be expressed by the differential equation =0.1P(1 - ), with P in thousands and t in years. Given that the initial population is 9 thousand. Find the population size after 20 years. (If you memorized the formula, then you need to derive it for this problem.)
(14) Find the extreme values of f(x, y, z) = z subject to the constraints x² + y² = z² and x + 2y + z = (16)