所屬科目:研究所、轉學考(插大)-微積分
1. Find the value of
2.Find the area of the region bounded by the curves y = sinx, y = cosx, x=0,and x=π/2.
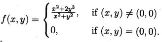
5. Let f(x,y) Find fy(0,0).
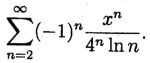
6. Find the interval of convergence of the series
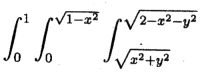
8. Evaluate the iterated integral dxdy.
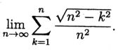
1. Find the limit
2. Evaluate the line integral dy where C is the circle x2+y2=4
3.Find the extreme values of f(x,y) = 2x2 + 3y2 - 4x-5 on the diskx2 +y2≤16.