所屬科目:研究所、轉學考(插大)-微積分
1. (a) Find f'(2), where f(x) =
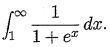
(b) Find if it exists.
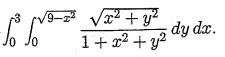
2. (a) Evaluate
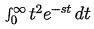
(b) Evaluate the integral for s > 0.
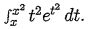
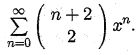
3. (a) Find the radius of convergence of
(b) Evaluate
5. (a) Evaluate the line integral dt, where C is the curve x= 2t,y =,0 ≤ t ≤ 1.
(b) Find the work done by the force field F(x, y) = xi - y2j in moving a particle from (1,0) to (0, 1) along the quarter-circle r(t) =(cost)i+(sin t)j,0 ≤ t ≤ π/2.