所屬科目:研究所、轉學考(插大)-微積分
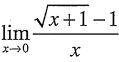
(a)
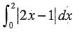
(b)
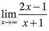
(c)
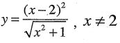
(d)
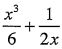
(a)y=
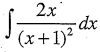
4.Find the indefinite integral:
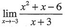
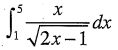
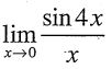
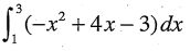
5.Evaluate
6.Which points on the graph of y = 4 - x2 are closest to the point (0,2) ?
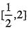
7.Find the arc length of the graph of y = on the interval , as shown in the figure below.