所屬科目:研究所、轉學考(插大)-微積分
1. By the limit definition, _______
2. The mathematical constant e = 2.71828... is sometimes called Euler's number, and can be defined as a limit of _______
3. The Maclaurin's series for is ________
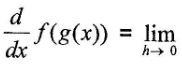
4. In the Composite Limit Theorem, , the least required sufficient conditions are that _______
5. The integral In x dx =_______
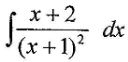
6. The integralx =______
7.=_______
8. The temperature on the surface of a metal plate is T(x, y) =. The direction of the greatest increase in heat from point (3, 4) is_______; The rate of increase in the direction from point (3, 4) to point (6, 8) is _______.
9. If a curve is given by , where 0≤ t ≤4π and b is a constant, the length of the curve is ________
1. Find the average of the function f(x) = x sin x between x =0 and x=π.
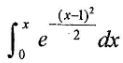
2. The eror functon erf(x) is defined as erf(x)=. Use this formula to find the integral .
3.For dx dy ,(1)sketch the region of integration; (2) switch the order of integration and evaluate the integral.
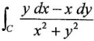
4. Evaluate the line integral ,where C. line segment from (1, 1) to (Hint:)
5.Find the area of the region Iying between the inner and outer loops of the limacon r(θ) =1-2sinθ.