所屬科目:研究所、轉學考(插大)-微積分
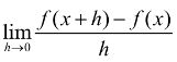
1. 求=________ 。
2. 求∫ 3(x+1)5dx=________ 。
3. 設h(x)=f(g(x)) ,且g(3)=1 ,g'(3)=2,f'(1)=0 ,求h'(3) =________ 。
4. 求(t2+1)dt =______ 。
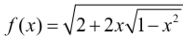
5. 令 ,求f'(x) = ______。
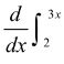
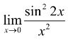
6. 計算=____________ 。
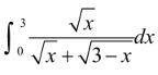
7. 計算=____________ 。
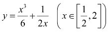
8. 計算曲線的長度=____________ 。
9. 計算(1-x)e-xdx=____________ 。
10. 求曲線x2(x2+y2)=y2 ,在點上的切線方程式為________ 。
1. 利用f'(x)= ,求f(x)=的導數(derivative)。
2. 令f(x)=x3+x2-x-1 ,x∈(-2,1) 。求此函數f(x)的最大值和最小值。
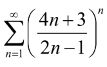
3. 請判斷無窮級數收斂還是發散,並說明你的理由。
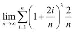
4. 計算= ?