所屬科目:研究所、轉學考(插大)-微積分
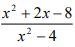
1. Find the vertical asymptotes of f(x) =.
2. Find the equation of tangent line of f(x) = x2 at x=-2
3. Find the derivative of f(x) = 3x2 sin2 x.
4. Find the derivative of f(x) = .
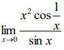
5. Prove =0
(a)
(b)
7. Find the interval of convergence of .
8. Find the tangent line to the folium of Descartes given by x3 + y3 = 3xy at the point (3/2, 3/2).
9. Find the area of the region R bounded by the line y = and the parabola y2 = 8 - x.