所屬科目:研究所、轉學考(插大)-微積分
a) , where [x] is the Gauss function,
b) lim.
a)
b)
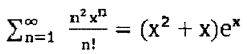
5. Use , prove , and find the sum . (12%)
6. Find the average value of f(x,y) = xy over the quarter circle x2 +y2≤1 in the first quadrant. (12%)
7. Evaluate F(x,y) = dt for x> 0, y> 0. (12%)