所屬科目:研究所、轉學考(插大)-微積分
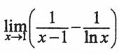
(a)(5分) ,
(b)(5分),
(c)(5分) 。
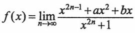
2.(10分)設 ,若f(x)為連續函數,試求a及b=?
(a)(5分),
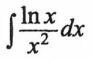
(b)(5分) ,
(c)(10分) 。
(a)(5分),其中[]為最大整數函數,
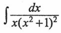
(b)(10分) 。
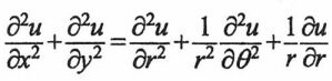
5.(10分)設=f(x,y),x=rcosθ,y=rsinθ,試證 。
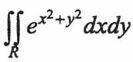
7.(15分)試求・其中R={(x,y)|x2+y2≤1,0≤y≤x).