所屬科目:研究所、轉學考(插大)-微積分
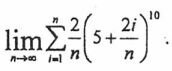
3.(12%) Compute
4.(12%) Compute xdx.
5. (12%) Let S be the solid obtained by rotating the region shown in the figure about the y-axis. Compute the volume of S.
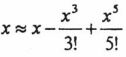
6. (12%) Find the sum of the series correct to three decimal places.
8. (16%) Use the given table of values of f(x,y) to estimate the values of fx(3,2), fx(3,1.8), fxy(3,2),and fyx(3,2).