所屬科目:研究所、轉學考(插大)-微積分
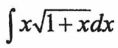
(a)(5分) ,
(b) (5分),
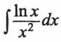
(c)(5分)。
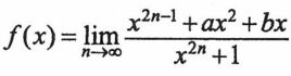
2.(10分)設 ,若f(x)為連續函數,試求a及b=?
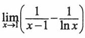
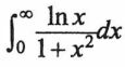
(b)(5分) ,
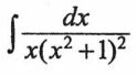
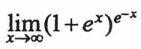
(c)(10分)
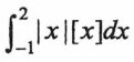
(a)(5分),其中[]為最大整數函數,
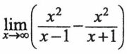
(b)(10 分) 。
5.(10分)設=f(x,y),x=rcosθ,y=rsinθ,試證。
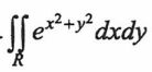
7.(15分)試求,其中R={(x,y)|x2+y≤1,0≤y≤x}。