阿摩線上測驗 登入

100年 - 100 國立臺北大學_轉學生招生考試試題_經濟學系二年級:微積分#119718

科目:研究所、轉學考(插大)-微積分 | 年份:100年 | 選擇題數:0 | 申論題數:12

試卷資訊

所屬科目:研究所、轉學考(插大)-微積分

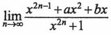
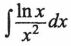
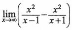
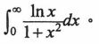
選擇題 (0)