所屬科目:研究所、轉學考(插大)-微積分
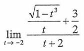
1.試求極限=________
2.試求定積分=_______
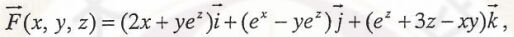
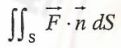
3.設向量場S為球面x2+y2+z2=9,且為其往外之法向量,試求面積分=________
4.過曲面zsinx+zcosy +3z2+5z=7上點,(0,π,1)之切平面為________
5.設K為4個面x=0,y=0,z=0,x+y+z=1所成的四面體, 試求積分=_______
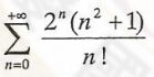
6.試求級數之和為______
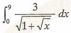
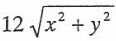
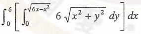
7.試求積分 =______
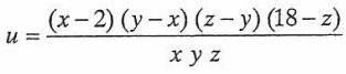
8.試在2與18之間插入3個數2<x<y<z<18使得之値最大:
9.設D為心臟線r=2(1-cosθ)所成的區域,且在D上的點(x,y), 其密度函數 p(x,y)=,試求其總質量(total mass) 及質量中心(center of mass)