所屬科目:研究所、轉學考(插大)-微積分
(1) Let F(x) =dt. Find F'(1).
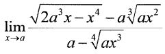
(2) Evaluate , where a>0.
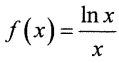
(1) Let , x> 0. Find the minimum value of a for which f(x) is strictly decreasing on [a, ∞).
(2)Which is greater , where n>8. Why?
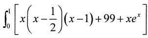
(1) Find the value of the integral dx
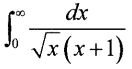
(2) Evaluate the improper integral
7.Let R be the annular region lying between the two circles x2 + y2 = 1 and x2 + y2 = 5. Evaluate the double integral(x2+ y2) dA.
8.Find the solid region Q where the triple integral (1 - x2 - y2 - z2) dV is a maximum. What is the exact maximum value?