阿摩線上測驗
登入
首頁
>
研究所、轉學考(插大)-微積分
> 100年 - 100 國立臺灣師範大學_轉學生招生考試試題_企業管理學士學位學程二年級:微積分#122163
100年 - 100 國立臺灣師範大學_轉學生招生考試試題_企業管理學士學位學程二年級:微積分#122163
科目:
研究所、轉學考(插大)-微積分 |
年份:
100年 |
選擇題數:
0 |
申論題數:
18
試卷資訊
所屬科目:
研究所、轉學考(插大)-微積分
選擇題 (0)
申論題 (18)
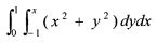
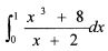
1.
2.
3.
4.
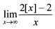
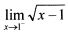
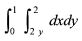
1.
2.
3. x² + y² = 4
4. y =
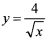
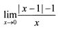
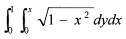
1.
2. ∫ x ln x dx
3.
4.
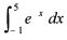
1.
2.
3.
4.
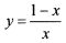
1. f(x) =
, 求出極值、反曲點與凹向上與凹向下的區間
2. f(x) = x⁴ - 4x³ + 10 , 求出極值、反曲點並作圖
相關試卷
114年 - 114 臺灣綜合大學系統_學士班轉學生考試試題:微積分A#137897
114年 · #137897
114年 - 114 臺灣綜合大學系統_學士班轉學生考試試題:微積分B#137819
114年 · #137819
114年 - 114 台灣聯合大學系統_學士班轉學生考試試題:微積分#137762
114年 · #137762
114年 - 114 台灣聯合大學系統_學士班轉學生考試試題:微積分#137761
114年 · #137761
114年 - 114 國立臺灣大學_轉學生招生考試_物理學系/土木工程學系/生物環境系統工程學系/生物機電工程學系:微積分(B)#137745
114年 · #137745
114年 - 114 國立臺灣大學_轉學生招生考試_數學系:微積分(A)#137744
114年 · #137744
113年 - 113 國立嘉義大學_轉學生招生考試試題_(全校):微積分#122986
113年 · #122986
112年 - 112 國立臺灣大學_碩士班招生考試題:微積分(D)#130254
112年 · #130254
112年 - 112 國立陽明交通大學_碩士班入學招生試題_統計學研究所﹕微積分與線性代數#130252
112年 · #130252
112年 - 112 國立嘉義大學_轉學生招生考試試題:微積分#123297
112年 · #123297