所屬科目:研究所、轉學考(插大)-微積分
1. In the engine shown in Figure 1, a 7-inch connecting rod is fastened to a crank of radius 3 inches. The crankshaft rotates counterclockwise at a constant rate of 200 rpm (revolutions per minute). Find the velocity (i.e., dx/dt) of the piston when θ = π/3. (15 分) Figure 1. The velocity of a piston is related to the angle of the crankshaft.
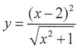
2. Find the derivative of , x ≠ 2 using logarithmic differentiation technique. (10 分)
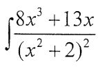
3.Evaluate dx. (10 分)
(b) ⋅ ∇f;
(c)curl;
6.Evaluate ∫Cydx + x²dy, where C is the parabolic arc given by y = 4x - x² from (4, 0) to (1, 3), as shown in Figure 3. (15 分)
(a) Show that vector = (y²cosx + z³)+ (2ysinx - 4)+ (3xz² + 2) is a conservative field. (8 分)
(b) Find the scalar potential function for . (7 分)