所屬科目:研究所、轉學考(插大)-微積分
3. (8 分) Use implicit differentiation to find dy/dx and d²y/dx² for the curve 2 = x - y.
(i) (6 分)Find the curve y = f(x) in the xy-plane that passes through the point (9, 4) and whose slope at each point is ;
(ii) (6 分)Find dy/dx if y =dt;
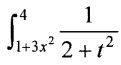
(iv)Find dx;
(ii) (6 分) Find the lengths of the curve x = t³, y = (3t²) / 2, 0 ≤ t ≤ .
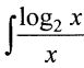
(i) (6 分)Evaluate ∫dx.
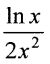
(ii) (6 分) Find the area under the curve y =from x = 1 to x = ∞.
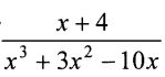
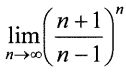
(i) (4 分) Find.
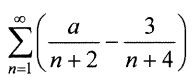
(ii) (4 分) For what value of a does the series converge?
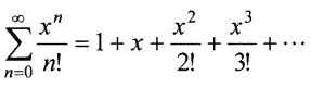
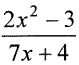
(iii) (4 分) For what value of x does the power series converge?