所屬科目:研究所、轉學考(插大)-微積分
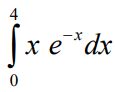
(a)
(c)
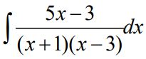
(b) ∫ (sin x )3 (cos x )2 dx
(e)
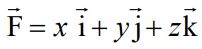
5. Find the work done by the force field in moving an object along the curve C parametrized by
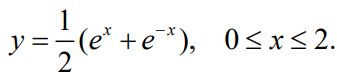
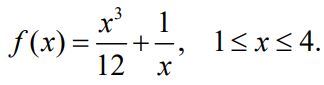
(a) Find the length of the graph of
(b) Find the length of the curve