所屬科目:研究所、轉學考(插大)-微積分
(a) =___________;
(b) =___________
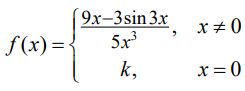
(c) =___________x≠0 ;
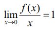
2. What is the value of k that makes the function continuous at x = 0 ? k =__________ . (6%)
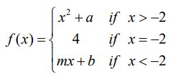
3. Let . Find the values of a m b , , that make f differentiable everywhere. (a,m,b )=_________ . (6%)
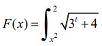
4. Suppose dt and x≥ 0 . If F-1 is the inverse function of F , then the value ( F-1 ) (0)=___________ . (6%)
5. Find the area of the region between the x-axis and the graph of f (x)= x3-x2-2x,-1≤x≤2?____________ .(6%)
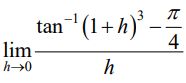
6. Evaluate =?________ . (6%)
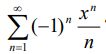
7. What is the convergent interval of the power series ? _________. (6%)
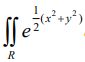
8. Evaluate dydx , where R is the semicircular region bounded by the x-axis and the curve .________ . (6%)
1. Suppose f is a function that satisfies the equation f (x+y) =f(x)+f(y)+x2y+xy2for all real numbers x and y . Suppose also that . Then f'(x)=_________ . (10%)
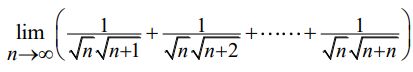
2. Evaluate the limit . (10%)
3. Find the maximum and minimum values of f (x,y)=x2+y2-2x-2y+5 on the closed region R{( x,y ) |x2+y2≤ 9}(10%)