阿摩線上測驗
登入
首頁
>
自動控制學
> 101年 - 101年三等關務特考自動控制#45159
101年 - 101年三等關務特考自動控制#45159
科目:
自動控制學 |
年份:
101年 |
選擇題數:
0 |
申論題數:
10
試卷資訊
所屬科目:
自動控制學
選擇題 (0)
申論題 (10)
⑴有一電力回路如圖一所示,試推導方程式求出轉移函數 I
2
( s ) / V ( s ) 。(10 分)
⑵有一機械結構之示意圖如圖二,試以方程式推導求出轉移函數 X
1
( s ) / F ( s ) 。 (10 分)
⑴控制方塊圖如圖三所示,請由方塊圖求其轉移函數 C ( s) / R( s) 。(10 分)
⑵請問穩態誤差(steady-state error)之意義及應用於圖三之數學表示式。(10 分)
⑶假設特性方程式 1 + G (s ) = a
0
s
6
+ a
1
s
5
+ a
2
s
4
+ a
3
s
3
+ a
4
s
2
+ a
5
s + a
6
= 0 ,請以羅斯(Routh-Hurwitz) 規則描述其穩定之條件。(5 分)
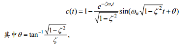
⑴請決定 C ( s) / R( s) ;(5 分)
⑵其時間響應 c(t ) 對於單一階梯輸入 R( s) = 1 / s 為
請推導出 t
p
(peak time)及最大超越量 M
p
。(15 分)
⑶使用圖四(b)之數據求出 ζ 與 ω n 值。(5 分)
【已刪除】⑴請依下列問題,解答或繪出下列系統轉移函數之根軌跡圖,當
極點及零點?(4 分) 描繪出實數軸上之根軌跡?(4 分) 漸近線交點?(4 分) 漸近線角度?(4 分) 找出分離點(Breakaway point)?(4 分)
⑵完成根軌跡圖形;(5 分) 是否與虛軸有交點,若有交點,請計算出與軸交點之 K 值。(5 分)