所屬科目:研究所、轉學考(插大)-微積分
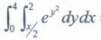
1.=________
2.=________
3. If f(x) = then f'(1) =________
4. f(x) = then f'(x)=________
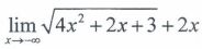
5. =________
6. =________
7. =________
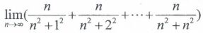
8.=________
9.=________
10. If f(x) = x5+2x-3 then =________
二、計算證明題1. Evaluate the limit .
2. Find the area of the region R enclosed by the parabola y = x² and the line y=x+2.
3. Prove that convergesn>1.