阿摩線上測驗
登入
首頁
>
初等/五等/佐級◆電子學大意
> 101年 - 101 原住民族特種考試_五等_電子工程:電子學大意#37197
101年 - 101 原住民族特種考試_五等_電子工程:電子學大意#37197
科目:
初等/五等/佐級◆電子學大意 |
年份:
101年 |
選擇題數:
40 |
申論題數:
0
試卷資訊
所屬科目:
初等/五等/佐級◆電子學大意
選擇題 (40)
1 在二極體的I-V關係式 I
D
=I
S
(
)中, VT為: (A)爾利(Early)電壓 (B)熱(thermal)電壓 (C)臨界(threshold)電壓 (D)偏移(offset)電壓
2 相較於開路(open circuit)的 pn 接面,逆偏下的 pn 接面: (A)空乏區寬度減少 (B)擴散電流(diffusion current)增加 (C)空乏區內的位能障礙增加 (D)空乏區內的空間電荷減少
3 利用何種物理實驗效應可以判定出半導體是屬於正(P)型或負(N)型? (A)霍爾(Hall)效應 (B)光電效應 (C)黑體輻射效應 (D)磁鐵磁性吸引效應
4 若P-N接面二極體之導通電壓為 0.7 V,且導通電阻值為 0 Ω。若Vi = 5sinωt (V),且電容之初始電壓為 0 V,假設不考慮電容內阻,下列敘述何者最正確?
(A)ω越小,V
o
之峰值(peak value)不變,谷值(bottom value)變小
(B)電容越小,V
o
之漣波(ripple)越小
(C)ω 越大,漣波越大
(D)電阻越大,V
o
之漣波越大
5 雙極性接面電晶體(BJT)在主動區(active region)操作下,其偏壓方式為: (A)B、E 間逆偏,C、B 間順偏 (B)B、E 間順偏,C、B 間逆偏 (C)B、E 間及 C、B 間均逆偏 (D)B、E 間及 C、B 間均順偏
6 如圖所示放大器,若電晶體操作於順向主動區(forward active region)且忽略爾利效應(Early effect),V
i
為輸入,V
o
為輸出,下列敘述何者最正確?
(A)該放大器為同相放大器 (B)增加直流偏壓V
b
可增大增益 (C)減低電阻值(R)可增加電晶體電流 (D)提高V
CC
可增加增益
7 若一BJT之射極接面為順向偏壓,其集極端為開路致I
C
=0,則此電晶體工作在那一個工作模式? (A)主動模式(active mode) (B)反向主動模式(reverse active mode) (C)截止模式(cutoff mode) (D)飽和模式(saturation mode)
8 圖示為 npn 雙極性接面電晶體(BJT)的特性曲線圖,則橫軸、縱軸的變數分別為:
(A)v
BE
、i
C
(B)v
CE
、i
C
(C)v
BE
、i
B
(D)v
BC
、i
B
9 當一 n 通道增強型 MOSFET,工作於飽和區(saturation region)時,下列何者最正確? (A)V
DS
≦V
GS
-V
t
(B)V
GD
≦V
t
(C)V
GS
≦V
t
(D)V
t
≦0
10 欲將 MOS 電晶體當作電子開關使用,電晶體應工作於何種區域? (A)線性區 (B)崩潰區 (C)負電阻區 (D)截止區及飽和區
11 場效電晶體(FET)工作在飽和區(saturation region)的轉導(transconductance)gm定義為:
(A)
,即當電壓vDS固定於VDS,電流iD對電壓vDS的變化率
(B)
,即當電壓vGS固定於VGS,電流iD對電壓vGS的變化率
(C)
,即當電壓vDG固定於VDG,電流iG對電壓vDG的變化率
(D)
,即當電壓vGS固定於VGS,電流iG對電壓vGS的變化率
12 如圖所示之電路,若MOSFET之轉導值(g
m
)= 1 mA/V,且操作於飽和區(saturation region),C2 > C1。下列敘述何者錯誤? (A)增加C2 將提升低頻之-3 dB頻率(ω
L
) 1 kΩ 1 kΩ (B)減少C1 將提升低頻之-3 dB頻率(ω
L
) (C)本電路為同相放大器 (D)加大g
m
將提升放大器之低頻-3 dB頻率(ω
L
)
13 如圖的共集(CC)放大器(其偏壓電路未繪示),設電晶體工作於主動模式(active mode),其小訊號參數g
m
、r
e
、r
π
均為已知,輸出電阻r
o
→∞,則此放大器之輸入電阻R
in
(不含Rsig)為:
(A)r
π
+ R
L
(B)r
e
+ R
L
(C)(β+1)(r
π
+ R
L
)(D)(β+1)(r
e
+ R
L
)
14 理想電壓放大器的輸入阻抗與輸出阻抗分別為: (A)∞、∞ (B)0、∞ (C)∞、0 (D) 0、0
15 如圖所示之電路,若BJT操作在順向主動區(forward active region),轉導值(g
m
)為 10 mA/V,β=40,若忽略元件之輸出阻抗(r
o
),試求V
o
/ V
i
=?
(A)-100 (B)-80 (C)-50 (D)-20
16 雙極性接面電晶體(BJT)共射接線組態下,射極–地間的電阻常並聯一電容(Emitter bypass capacitor),此電容之目的為: (A)降低射極的直流電壓 (B)升高射極的直流電壓 (C)提高輸入電阻值 (D)改善電壓增益
17 如圖之MOS差動放大器(differential amplifier),Q
1
=Q
2
,其臨界電壓(threshold voltage)V
t
=0.5 V,爾利電壓(Early voltage)V
A
→∞。當V
G1
=V
G2
=0 時,若電晶體工作於飽和模式(saturation mode),其汲 極電流ID與閘源電壓V
GS
的關係為I
D
=2(V
GS
-V
t
)
2
(mA)。 則當V
G1
=V
G2
=0 時,R
D
之最大值可為多大,而仍可維持電晶體工作於飽和模式?
(A)3 kΩ (B)4 kΩ (C)5 kΩ (D)6 kΩ
18 圖示電路中v
o
為輸出電壓,本電路是何種電路?
(A)濾波器 (B)加法器 (C)緩衝器 (D)差動放大器
複選題
19 如圖所示之電路,若MOSFET操作在飽和區(saturation region)且轉導值(g
m
)為A/V;BJT操作在順向主動區(forward active region)且轉導值(g
m
)為A/V,β=100。若忽略元件之輸出阻抗(r
o
),試求V
o
/I
s
=?
(本題送分)
(A)-1000 kΩ (B)-500 kΩ (C)-250 kΩ (D)-125 kΩ
20 某串級放大器,若第一級電壓增益為 40 dB,第二級電壓增益為 20 dB,則總電壓增益為何? (A)20 dB (B)60 dB (C)800 dB (D)1000 dB
21 圖中理想運算放大器電路的放大增益為何?
(A)4.5 V/V (B) 5.5 V/V (C)9 V/V (D)10 V/V
22 考慮下圖理想運算放大器電路,若運算放大器的輸出電流i
o
=0.2 mA,電晶體的電流增益β=99,則電阻R應為多少?
(A)250 Ω (B)500 Ω (C)750 Ω (D)1 kΩ
23 有一電路如下圖所示,若Z2 為純電容,Z1 與Z3~Z5 均為純電阻R,所有阻抗Z1~Z5 的絕對值均相等且不為零,且所有放大器U1 及U2 均為理想運算放大器,V1 為交流電源。試問等效輸入阻抗Zin為何?
(A)純電感+jX (B)純電容-jX (C)電感性阻抗 R+jX D B (D)電容性阻抗 R-jX
24 如圖所示之理想運算放大器電路,假設輸入為一弦波(sinusoid)訊號,A
o
= ∞,RC = 10 ns,且此電路放大輸入訊號之大小 10 倍,則輸入弦波之頻率約為何?
(A)0.8 MHz (B)1.2 MHz (C)1.6 MHz (D)3.2 MHz
25 如圖為一 MOSFET 共源極架構放大器,假設電晶體之爾利電壓(Early voltage)為無窮大,下列何者不是其低頻響應的極點頻率?
26 下圖中R
1
= 4 kΩ、R
2
= 6 kΩ、C
1
= 1 pF。則此電路之-3 分貝頻率約為多少?
(A)15.9 MHz (B)26.5 MHz (C)39.8 MHz (D)66.3 MHz
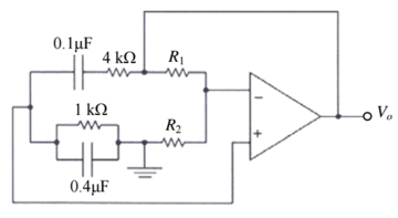
27 有一放大器電路的頻率響應轉移函數(transfer function)F(s)如下所示,其中 s = j ω = j2πf:
若繪製相角∠F(s)的波德圖(Bode plot),試問在頻率 f =100 kHz 時的相角應落在下列何範圍內? (A)+50°到+100°之間 (B) 0°到+50°之間 (C)-50°到 0°之間 (D)-100°到-50°之間
28 如圖所示之電路,假設 MOS 電晶體操作在飽和區,且電晶體特性為理想,求使其電壓增益下降為最大增益之 90%時之頻率為何?
(A)47.1 MHz (B)57.1 MHz (C)67.1 MHz (D)77.1 MHz
29 圖中為一韋恩電橋(Wien bridge)振盪器,要維持持續的振盪,所需的電阻 R 值為何?
(A)10 kΩ (B)15 kΩ (C)20 kΩ (D)60 kΩ
30 下圖是那一種振盪器電路?
(A)考畢子振盪器(The Colpitts Oscillator) (B)克拉普振盪器(The Clapp Oscillator) (C)哈特萊振盪器(The Hartley Oscillator) (D)韋恩電橋振盪器(The Wien-bridge Oscillator)
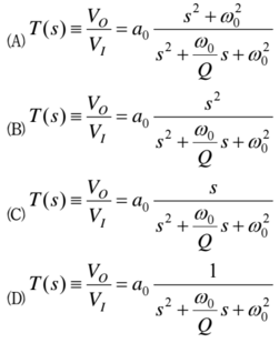
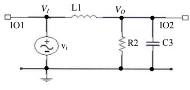
31 某一LCR被動式濾波器(passive filter)如下圖所示,試問該電路V
O
/V
I
轉移函數(transfer function)的數學表示式為何?
32 如圖所示之理想運算放大器振盪電路,其振盪頻率為何?
(A)100 Hz (B)200 Hz (C)300 Hz (D)400 Hz
33 下列關於傳輸延遲的描述何者最正確? (A)傳輸延遲愈大代表操作速度愈快 (B)高至低傳輸延遲定義為輸出由高邏輯電壓從其 90%下降至其 10%所需的時間 (C)傳輸延遲不受負載電容的影響 (D)當功率消耗增加,傳輸延遲就會隨之增加
34 下圖由四個 NOR 閘組成之數位邏輯電路,其輸出 F 為何?
35 數位邏輯電路可分為下拉網路(pull-down network)與上拉網路(pull-up network)兩部分,今有一邏輯閘使用 NMOS 電晶體製作下拉部分,如下圖所示。試設計上拉部分 PMOS 電晶體互補的連線:
(A) A 接 MP1、B 接 MP2、
接 MP3、
接 MP4
(B)
接 MP1、A 接 MP2、B 接 MP3、
接 MP4
(C) A 接 MP1、B 接 MP2、A 接 MP3、
接 MP4
(D) A 接 MP1、B 接 MP2、
接 MP3、B 接 MP4
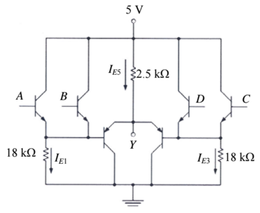
36 如圖所示之電路,若 A=5 V,B=C=D=0 V,則下列何者最正確?
(A)I
E1
=0 mA (B)I
E3
=0.239 mA (C)I
E5
=1.72 mA (D)V
Y
=5 V
37 如圖所示之電路為一 n-bit 之位址解碼器(address decoder)。假設一記憶體安排為方形陣列(square array)型式,而行與列之位址解碼器採用如圖所示之方式,求 4K 記憶體所需之解碼器電晶體數目為何?
(A)384 (B)564 (C)896 (D)1024
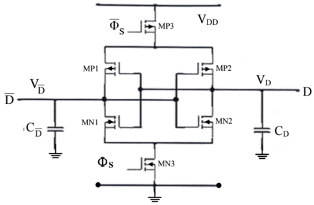
38 有一感知放大器(sense amplifier, SA)細部的電晶體電路如下圖所示,並顯示出等效寄生的電容C
D
、
。當時脈Φ
S
=0 時,感知放大器不動作;當時脈Φ
S
=1 時,感知放大器才會動作。設每一對PMOS-NMOS 串聯路徑的轉移特性(voltage transfer characteristic, VTC)經適當設計後,其轉態的輸入準位為 0.5V
DD
,如下圖所示。若時脈Φ
S
=由 0 轉成 1 之前,已知位元信號線D、
的電壓分別為V
D
=0.4 V
DD
、
=0.6 VDD,當時脈Φ
S
=1 後,試分析位元信號線D、 D 最終穩定的電壓:
(A)信號線D最終穩定的電壓接近 0 V、信號線 D 最終穩定的電壓接近VDD
(B)信號線D最終穩定的電壓接近 0.3 V
DD
、信號線 D 最終穩定的電壓接近 0.7 V
DD
(C)信號線D、
最終穩定的電壓接近 0.5 V
DD
(D)信號線D最終穩定的電壓接近 0.6 V
DD
、信號線
終穩定的電壓接近 0.4 V
DD
39 下列有關於 DRAM 電路儲存資料方式的描述何者最正確? (A)資料儲存於電容 (B)資料儲存於正反器(flip flop) (C)資料儲存在閂鎖器(latch) (D)資料儲存於電感
40 記憶體晶片在 5 V 電源下,以 100 ns 週期連續操作,晶片功率消耗為 400 mW,在任一週期中有動作的所有邏輯的總電容約為何? (A)0.8 nF (B)1 nF (C)1.6 nF (D)2 nF
申論題 (0)