所屬科目:研究所、轉學考(插大)-微積分
1. Let for (x,y)≠(0,0). Is it possible to define f(0,0) in a way that makes f continuous at the origin? Explain your answer and show your reasons. (Hint: Let x = rcosθ, y =rsinθ)
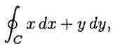
2. Evaluate the line integral by two methods: (a) directly and (b) using Green's Theorem. where C consists of the line segments from (0,1) to (0,0) and from (0,0) to (1,0) and the parobola y = 1 -x2 from (1,0) to (0,1).
(a)
(b).
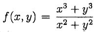
1. If .
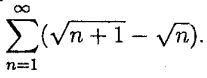
2. Find cos t dt.
5. Evaluate dxdy.
6. Evaluate the double integral
7. Evaluate the definite integral