所屬科目:研究所、轉學考(插大)-微積分
1. Determine the slope =__①__ of the tangent line to the graph of x² + 4y² = 4 at the point ().
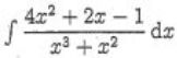
4. Evaluate =__④__ .
7. Find the volume =__⑦__ of the solid generated by revolving the region bounded by the graphs of y = and y = 0 about the x-axis.
8. Find the area =__⑧__ of the surface generated by revolving y =, -1 ≤ x ≤ 1 about the x-axis.
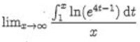
9. Evaluate =__⑨__ .
10. Evaluate =__⑩__ .
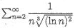
11. Determine the convergence or divergence =__⑪__ of the series .
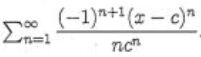
12. Find the interval =__⑫__ of convergence of the power series .
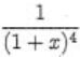
13. Find the Maclaurin series =__⑬__ for the function f(x) =.
17. Find the directional derivative =__⑰__ of f(x, y) = cos(x + y) at P(0, π) in the direction of .
18. Find the maximum value =__⑱__ of f(x, y) = subject to the con-straint x + y - 2 = 0.
19. Evaluate cos (x² + y²) dy dx =__⑲__ .
20. Find the volume =__⑳__ of the solid inside x² + y² + z² = 16 and outside z = .