所屬科目:研究所、轉學考(插大)-微積分
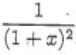
2. Find the extrema = __②__ of f(x) = x³ - on the interval [-1, 2].
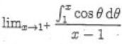
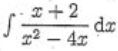
4. Evaluate = __④__
6. Find = __⑥__ where f(x) = x³ - 1 and a = 26.
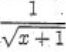
7. Find the volume = __⑦__ of the solid generated by revolving the region bounded by the graphs of y =, y = 0, x = 0, and x = 4 about the x-axis.
8. Find the area = __⑧__ of the surface generated by revolving y = , 0 ≤ x ≤ 6 about the x-axis.
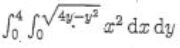
9. Evaluate = __⑨__
10. Evaluate = __⑩__
11. Determine the convergence or divergence = __⑪__ of the series .
12. Find the interval = __⑫__ of convergence of the power series , k > 0.
13. Find the Maclaurin series = __⑬__ for the function f(x) =.
19. Evaluate = __⑲__