所屬科目:研究所、轉學考(插大)-微積分
2. Find the extrema = __②__ of y =- 2x on the interval [-1,1].
4. Evaluate = __④__
5. Evaluate = __⑤__
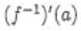
6. Find = __⑥__ where f(x) = x² + 2x - 1 and a = 2.
7. Find the volume = __⑦__ of the solid generated by revolving the region bounded by the graphs of y = , y = 0, x = 1, and x = 3 about the x-axis.
8. Find the area = __⑧__ of the surface generated by revolving y = , -2 ≤ x ≤ 2 about the x-axis.
9. Evaluate = __⑨__
10. Evaluate = __⑩__
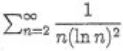
11. Determine the convergence or divergence = __⑪__ of the series .
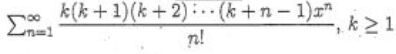
12. Find the interval = __⑫__ of convergence of the power series .
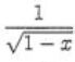
13. Find the Maclaurin series = __⑬__ for the function f(x) =.
17. Find the directional derivative = __⑰__ of g(x, y, z) = at P(2, 4, 0) in the direction of Q(0, 0, 0).
18. Find the minimum value = __⑱__ of f(x, y) = subject to the constraint 2x + 4y - 15 = 0.
19. Evaluate = __⑲__