所屬科目:研究所、轉學考(插大)-微積分
1. (a) Let f(x) =.Find f'(x).
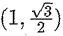
(b) Find an equation of the tangent line of the ellipse x2+4y2= 4 at .
2. (a) Evaluate
(b) Evaluate sin x dx, where s > 0.
3. (a) Find the Taylor series of f(x) = at x = -1.
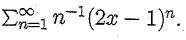
(b) Determine the interval of convergence of