所屬科目:研究所、轉學考(插大)-微積分
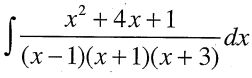
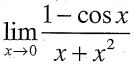
(a)
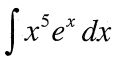
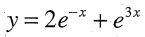
(b)
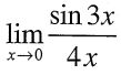
(c)
5. (20%) The region bounded by the curve y= , the x-axis, and the line x = 4 is revolved about the y-axis to generate a solid. Find the volume of the solid.