所屬科目:研究所、轉學考(插大)-微積分
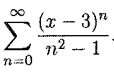
2. Find the interval of convergence of the series __(b)__
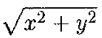
4. Find the linearization L(x, y) = Ax + By + C of the function f(x,y) = at the point (-5,4). __(d)__
5. Find the arc length of the curve y =, x ∈ [0, 1]. __(e)__
8. Let S be the surface of the solid E that lies above the cone z = and below the sphere x² + y² + z² = 2, and F(x, y, z) = (z, y, sin(x + y)). Evaluate ∬ₛ F•dS = __(h)__
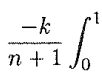
(a) First of all, compute the double integraldA
(b) Apply Fubini's theorem and symmetric property of the function e⁻ˣ² to find the integral dx:
(a) Derive the formula: xn(lnx)kdx = xn(lnx)k-1dx
(b) Derive the formulaxn(lnx)n dx =
(c) Use the formula xx = exlnx and the Maclaurin series for eˣ to derive the formula