所屬科目:研究所、轉學考(插大)-微積分
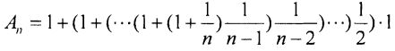
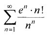
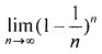
(1)
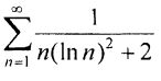
(2)
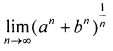
(3)a>b>0,求
2.設,求f'(0)
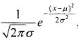
3.f(x)=,-∞<x<∞,其中μ與σ為兩個固定參數-∞<μ<∞,0<σ<∞,試求f(x)之極值(extreme point)和反曲點(inflection point)
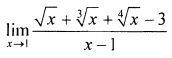
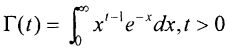
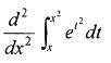
4.求
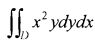
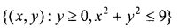
(2),其中D=
6.已知Gamma函數,試證,n為自然數。
7.設,試求