所屬科目:研究所、轉學考(插大)-微積分
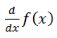
1. 求=_____。
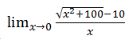
2. 求=_____ 。
3. 設f(x)=(x2+1)(x3-3x2+3x2-1),求 =_____ 。
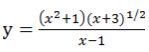
4. 求=______。
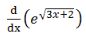
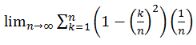
5. 求=__________ 。
6. 計算 =________ 。
7. 計算∫(x3+x)5(3x2+1)dx=_______ 。
8. 計算 =_____ 。
9. 計算 = _________。
10. 求 , 1≤x≤4的圖形長度為_____ 。
1. 求 。
2. 求。
3. 請判斷無窮級數是收斂還是發散,並說明你的理由。
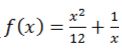
4. 若 ,x>1 , 求 =?